米兰体育app官网入口

商务部公告2024年第17号 关于对原产于印度的进口氯氰菊酯进行反倾销立案调查的公告

中华人民共和国商务部(以下简称商务部)于2024年4月2日收到米兰体育app官网入口-米兰(中国) (以下称申请人)代表中国氯氰菊酯产业正式提交的反倾销调查申请,申请人请求对原产于印度的进口氯氰菊酯进行反倾销调查。商务部依据《中华人民共和国反倾销条例》有关规定,对申请人的资格、申请调查产品的有关情况、中国同类产品的有关情况、申请调查产品对中国产业的影响、申请调查国家的有关情况等进行了审查。

根据申请人提供的证据和商务部的初步审查,申请人氯氰菊酯产量在2019年、2020年、2021年、2022年和2023年占同期中国同类产品总产量的50%以上,符合《中华人民共和国反倾销条例》第十一条和第十三条有关中国产业提出反倾销调查申请的规定。同时,申请书中包含了《中华人民共和国反倾销条例》第十四条、第十五条规定的反倾销调查立案所要求的内容及有关证据。

根据上述审查结果,依据《中华人民共和国反倾销条例》第十六条的规定,商务部决定自2024年5月7日起对原产于印度的进口氯氰菊酯进行反倾销立案调查。现将有关事项公告如下:

一、立案调查及调查期

自本公告发布之日起,商务部对原产于印度的进口氯氰菊酯进行反倾销立案调查,本次调查确定的倾销调查期为2023年1月1日至2023年12月31日,产业损害调查期为2019年1月1日至2023年12月31日。

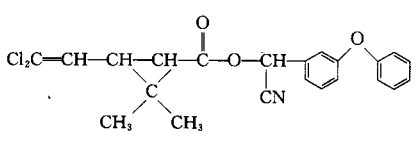
二、被调查产品及调查范围

调查范围:原产于印度的进口氯氰菊酯

被调查产品名称:氯氰菊酯

英文名称:Cypermethrin,也称Cypermethrin technical,Cipermethrin

分子式:C22H19CL2NO3

化学结构式:

物理化学特性:氯氰菊酯是重要的拟除虫菊酯类杀虫剂,外观通常呈黄色至棕色粘稠液体或有结晶的半固体,具有触杀和胃毒作用,杀虫谱广。

主要用途:氯氰菊酯主要用于生产高效氯氰菊酯、杀虫剂制剂等,广泛应用在农业、卫生等领域,用于棉花、果树、蔬菜、烟草、玉米、花卉等害虫防治。

该产品归在《中华人民共和国进出口税则(2023)》:29269090。该税则号项下的其他产品不在本次调查范围之内。

三、登记参加调查

利害关系方应于本公告发布之日起20天内,向商务部贸易救济调查局登记参加本次反倾销调查。参加调查的利害关系方应根据《登记参加调查的参考格式》提供基本身份信息、向中国出口或进口本案被调查产品的数量及金额、生产和销售同类产品的数量及金额以及关联情况等说明材料。《登记参加调查的参考格式》可在商务部网站贸易救济调查局子网站下载。

利害关系方登记参加本次反倾销调查,应通过“贸易救济调查信息化平台”(//etrb.mofcom.gov.cn)提交电子版本,并根据商务部的要求,同时提交书面版本。电子版本和书面版本内容应相同,格式应保持一致。

本公告所称的利害关系方是指《中华人民共和国反倾销条例》第十九条规定的个人和组织。

四、查阅公开信息

利害关系方可在商务部网站贸易救济调查局子网站下载或到商务部贸易救济公开信息查阅室(电话:0086-10-65197878)查找、阅览、抄录并复印本案申请人提交的申请书的非保密文本。调查过程中,利害关系方可通过相关网站查询案件公开信息,或到商务部贸易救济公开信息查阅室查找、阅览、抄录并复印案件公开信息。

五、对立案的评论

利害关系方对本次调查的产品范围及申请人资格、被调查国家及其他相关问题如需发表评论,可于本公告发布之日起20天内将书面意见提交至商务部贸易救济调查局。

六、调查方式

根据《中华人民共和国反倾销条例》第二十条的规定,商务部可以采用问卷、抽样、听证会、现场核查等方式向有关利害关系方了解情况,进行调查。

为获得本案调查所需要的信息,商务部通常在本公告规定的登记参加调查截止之日起10个工作日内向利害关系方发布调查问卷。利害关系方可以从商务部网站贸易救济调查局子网站下载调查问卷。

《氯氰菊酯反倾销案国外出口商或生产商调查问卷》询问信息包括公司的结构和运作、被调查产品、对中国的出口销售、国内销售、经营和财务等相关信息、生产成本和相关费用、估算的倾销幅度及核对单等内容。《氯氰菊酯反倾销案国内生产者调查问卷》询问信息包括公司基本情况、同类产品情况、经营和相关信息、财务和相关信息、其他需要说明的问题等内容。《氯氰菊酯反倾销案国内进口商调查问卷》询问信息包括公司基本情况、被调查产品贸易和相关信息等内容。

利害关系方应在规定时间内提交完整、准确的答卷。答卷应当包括调查问卷所要求的全部信息。

七、信息的提交和处理

利害关系方在调查过程中提交评论意见、答卷等,应通过“贸易救济调查信息化平台”(//etrb.mofcom.gov.cn)提交电子版本,并根据商务部的要求,同时提交书面版本。电子版本和书面版本内容应相同,格式应保持一致。

利害关系方向商务部提交的信息如需保密的,可向商务部提出对相关信息进行保密处理的请求并说明理由。如商务部同意其请求,申请保密的利害关系方应当同时提供该保密信息的非保密概要。非保密概要应当包含充分的有意义的信息,以使其他利害关系方对保密信息能有合理的理解。如不能提供非保密概要,应说明理由。如利害关系方提交的信息未说明需要保密的,商务部将视该信息为公开信息。

八、不合作的后果

根据《中华人民共和国反倾销条例》第二十一条的规定,商务部进行调查时,利害关系方应当如实反映情况,提供有关资料。利害关系方不如实反映情况、提供有关资料的,或者没有在合理时间内提供必要信息的,或者以其他方式严重妨碍调查的,商务部可以根据已经获得的事实和可获得的最佳信息作出裁定。

九、调查期限

本次调查自2024年5月7日起开始,通常应在2025年5月7日前结束调查,特殊情况下可延长6个月。

十、商务部联系方式

地址:北京市东长安街2号

邮编:100731

商务部贸易救济调查局

电话:0086-10-65198757 65198435

传真:0086-10-65198172

相关网站: 商务部网站贸易救济调查局子网站(trb.mofcom.gov.cn)

商 务 部  
2024年5月7日
关注扬农
 
手机版官网
 
微信公众号
Copyright @ 2011-2025 扬农化工 版权所有 苏ICP备11026798号-3 苏公网安备32100202010098号 网站建设:北京中恒电国际信息技术有限公司
 

商务部公告2024年第17号 关于对原产于印度的进口氯氰菊酯进行反倾销立案调查的公告

中华人民共和国商务部(以下简称商务部)于2024年4月2日收到米兰体育app官网入口-米兰(中国) (以下称申请人)代表中国氯氰菊酯产业正式提交的反倾销调查申请,申请人请求对原产于印度的进口氯氰菊酯进行反倾销调查。商务部依据《中华人民共和国反倾销条例》有关规定,对申请人的资格、申请调查产品的有关情况、中国同类产品的有关情况、申请调查产品对中国产业的影响、申请调查国家的有关情况等进行了审查。

根据申请人提供的证据和商务部的初步审查,申请人氯氰菊酯产量在2019年、2020年、2021年、2022年和2023年占同期中国同类产品总产量的50%以上,符合《中华人民共和国反倾销条例》第十一条和第十三条有关中国产业提出反倾销调查申请的规定。同时,申请书中包含了《中华人民共和国反倾销条例》第十四条、第十五条规定的反倾销调查立案所要求的内容及有关证据。

根据上述审查结果,依据《中华人民共和国反倾销条例》第十六条的规定,商务部决定自2024年5月7日起对原产于印度的进口氯氰菊酯进行反倾销立案调查。现将有关事项公告如下:

一、立案调查及调查期

自本公告发布之日起,商务部对原产于印度的进口氯氰菊酯进行反倾销立案调查,本次调查确定的倾销调查期为2023年1月1日至2023年12月31日,产业损害调查期为2019年1月1日至2023年12月31日。

二、被调查产品及调查范围

调查范围:原产于印度的进口氯氰菊酯

被调查产品名称:氯氰菊酯

英文名称:Cypermethrin,也称Cypermethrin technical,Cipermethrin

分子式:C22H19CL2NO3

化学结构式:

物理化学特性:氯氰菊酯是重要的拟除虫菊酯类杀虫剂,外观通常呈黄色至棕色粘稠液体或有结晶的半固体,具有触杀和胃毒作用,杀虫谱广。

主要用途:氯氰菊酯主要用于生产高效氯氰菊酯、杀虫剂制剂等,广泛应用在农业、卫生等领域,用于棉花、果树、蔬菜、烟草、玉米、花卉等害虫防治。

该产品归在《中华人民共和国进出口税则(2023)》:29269090。该税则号项下的其他产品不在本次调查范围之内。

三、登记参加调查

利害关系方应于本公告发布之日起20天内,向商务部贸易救济调查局登记参加本次反倾销调查。参加调查的利害关系方应根据《登记参加调查的参考格式》提供基本身份信息、向中国出口或进口本案被调查产品的数量及金额、生产和销售同类产品的数量及金额以及关联情况等说明材料。《登记参加调查的参考格式》可在商务部网站贸易救济调查局子网站下载。

利害关系方登记参加本次反倾销调查,应通过“贸易救济调查信息化平台”(//etrb.mofcom.gov.cn)提交电子版本,并根据商务部的要求,同时提交书面版本。电子版本和书面版本内容应相同,格式应保持一致。

本公告所称的利害关系方是指《中华人民共和国反倾销条例》第十九条规定的个人和组织。

四、查阅公开信息

利害关系方可在商务部网站贸易救济调查局子网站下载或到商务部贸易救济公开信息查阅室(电话:0086-10-65197878)查找、阅览、抄录并复印本案申请人提交的申请书的非保密文本。调查过程中,利害关系方可通过相关网站查询案件公开信息,或到商务部贸易救济公开信息查阅室查找、阅览、抄录并复印案件公开信息。

五、对立案的评论

利害关系方对本次调查的产品范围及申请人资格、被调查国家及其他相关问题如需发表评论,可于本公告发布之日起20天内将书面意见提交至商务部贸易救济调查局。

六、调查方式

根据《中华人民共和国反倾销条例》第二十条的规定,商务部可以采用问卷、抽样、听证会、现场核查等方式向有关利害关系方了解情况,进行调查。

为获得本案调查所需要的信息,商务部通常在本公告规定的登记参加调查截止之日起10个工作日内向利害关系方发布调查问卷。利害关系方可以从商务部网站贸易救济调查局子网站下载调查问卷。

《氯氰菊酯反倾销案国外出口商或生产商调查问卷》询问信息包括公司的结构和运作、被调查产品、对中国的出口销售、国内销售、经营和财务等相关信息、生产成本和相关费用、估算的倾销幅度及核对单等内容。《氯氰菊酯反倾销案国内生产者调查问卷》询问信息包括公司基本情况、同类产品情况、经营和相关信息、财务和相关信息、其他需要说明的问题等内容。《氯氰菊酯反倾销案国内进口商调查问卷》询问信息包括公司基本情况、被调查产品贸易和相关信息等内容。

利害关系方应在规定时间内提交完整、准确的答卷。答卷应当包括调查问卷所要求的全部信息。

七、信息的提交和处理

利害关系方在调查过程中提交评论意见、答卷等,应通过“贸易救济调查信息化平台”(//etrb.mofcom.gov.cn)提交电子版本,并根据商务部的要求,同时提交书面版本。电子版本和书面版本内容应相同,格式应保持一致。

利害关系方向商务部提交的信息如需保密的,可向商务部提出对相关信息进行保密处理的请求并说明理由。如商务部同意其请求,申请保密的利害关系方应当同时提供该保密信息的非保密概要。非保密概要应当包含充分的有意义的信息,以使其他利害关系方对保密信息能有合理的理解。如不能提供非保密概要,应说明理由。如利害关系方提交的信息未说明需要保密的,商务部将视该信息为公开信息。

八、不合作的后果

根据《中华人民共和国反倾销条例》第二十一条的规定,商务部进行调查时,利害关系方应当如实反映情况,提供有关资料。利害关系方不如实反映情况、提供有关资料的,或者没有在合理时间内提供必要信息的,或者以其他方式严重妨碍调查的,商务部可以根据已经获得的事实和可获得的最佳信息作出裁定。

九、调查期限

本次调查自2024年5月7日起开始,通常应在2025年5月7日前结束调查,特殊情况下可延长6个月。

十、商务部联系方式

地址:北京市东长安街2号

邮编:100731

商务部贸易救济调查局

电话:0086-10-65198757 65198435

传真:0086-10-65198172

相关网站: 商务部网站贸易救济调查局子网站(trb.mofcom.gov.cn)

商 务 部  
2024年5月7日
Copyright @ 2011-2025 扬农化工 版权所有 苏ICP备11026798号-3 苏公网安备32100202010098号 网站建设:北京中恒电国际信息技术有限公司
Produced By CMS 网站群内容管理系统 publishdate:2026-03-19 11:30:57